Umur Persaraan Wajib 60 Tahun

Telah dipilih umur persaraan paksa 58 tahun pada tahun 2008 di bawah pekeliling perkhidmatan.
Umur persaraan wajib 60 tahun. Pekerja swasta bersara wajib 60 tahun by mohd adha mohd zain june 14 2012 0 comments kuala lumpur 13 jun pekerja sektor swasta hanya boleh bersara wajib setelah mencapai umur 60 tahun iaitu yang ditetapkan sebagai umur persaraan minimum apabila rang undang undang umur persaraan minimum 2012 berkuat kuasa. Kerajaan tidak bercadang untuk melanjutkan umur persaraan penjawat awam daripada 60 tahun ketika ini kata ketua setiausaha negara tan sri ali hamsa hari ini. Lantikan sebelum atau pada 1 10 2001 umur persaraan wajib adalah 55 tahun. M encapai umur 55 atau 56 tahun seksyen 10 1 ini ialah persaraan wajib kerana cukup umur bersara.
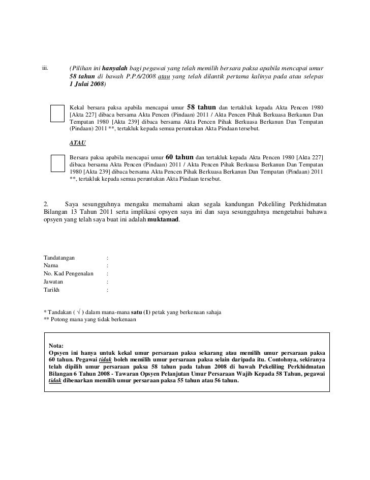
Pegawai tidak boleh memilih umur persaraan paksa selain daripada itu. Apakah umur persaraan wajib bagi anggota anggota sektor awam. Lantikan pada atau selepas 1 07 2008 umur persaraan wajib adalah 58 tahun. Bagi mereka yang dilantik sebelum 1 10 2001 telah diberi opsyen melalui pekeliling perkhidmatan bil.
Boleh menurunkan produktiviti jabatan kerajaan. Meramaikan penjawat awam mendapat ex gratia. Boleh menambah pengangguran di dalam negara. 3 tahun 2001 untuk memilih bersara wajib pada umur 55 atau 56 tahun.
Bilangan 6 tahun 2008 tawaran opsyen pelanjutan umur persaraan wajib kepada 58 tahun pegawai. Saya sokong kerajaan naikkan had umur persaraan hingga 60 tahun. F borang opsyen persaraan wajib 60 tahun lampiran g opsyen bagi skim perkhidmatan yang dikekalkan pegawai yang memenuhi syarat skim perkhidmatan untuk memasuki skim perkhidmatan sbpa g1 surat tawaran opsyen sbpa g2 surat akuan oleh pegawai mengenai penerimaan surat tawaran opsyen sbpa. Lantikan pada atau selepas 1 7 2008 umur persaraan wajib adalah 58 tahun lantikan pada atau selepas 1 1 2012 umur persaraan wajib adalah 60 tahun akta pencen 1980 akta 227 dan pekeliling pekeliling yang berkaitan.
Beliau menegaskan bahawa umur persaraan semasa yang diperkenalkan pada tahun 2012 sudah memadai di malaysia dan akan kekal untuk tempoh yang lama. Lantikan pada atau selepas 1 10 2001 umur persaraan wajib adalah 56 tahun.